
版权 BASi 1997 - 2022 Bioanalytical Systems, Inc. www.basinc.com
本仪器,无论是整体还是部分,其制造仅用于研究目的。制造商无意、暗示或推荐将其用于医疗诊断。用于此目的及其相关责任完全由用户承担。
Epsilon EClipse 是 Bioanalytical Systems Inc. 设计的最新恒电位仪,旨在帮助科学家在实验室中进行前沿的电化学实验。与 Epsilon 相比,它升级了硬件、更新了软件、扩展了施加电位范围并改进了设计。本手册旨在帮助电化学家最大限度地发挥 Epsilon EClipse 的潜力。
BASi 提供使用 Epsilon EClipse 进行电化学实验的额外配件。其中包括 C3 电解池支架、可控生长汞电极 (CGME)、旋转圆盘电极 (RDE2) 以及多种不同的电极。本手册将在适当之处提及这些配件。
恒电位仪 循环伏安法 (CV) 线性扫描伏安法 (LSV) 计时电流法/计时库仑法 (CA/CC) 控制电位电解 (CPE) 直流电位电流法 (DCPA) 恒电流仪 计时电位法 (CP) 双阶跃计时电位法 (DSCP) 其他 开路电位 vs 时间 (OP) 脉冲伏安法 方波伏安法 (SW) 常规脉冲伏安法/极谱法 (NP) 差分脉冲伏安法/极谱法 (DP) 采样电流极谱法 (SCP) 溶出伏安法 线性扫描溶出伏安法 (LSSV) 方波溶出伏安法 (SWSV) 差分脉冲溶出伏安法 (DPSV)
序列技术
多通道电流法 (MCA) 多通道循环伏安法 (MCCV) 多通道计时电流法 (MCCA)
十九种技术 施加电位范围 槽压范围 更新的用户友好软件 恒电位仪分辨率 硬件可与 BASi 伏安电解池支架、可控生长汞电极电解池支架和旋转圆盘电极电解池支架连接 通过 BASi 电解池支架控制磁力搅拌和气体吹扫 自动和手动峰拟合 Anson 和 Cottrell 图 数字平滑 半积分和半微分
通道 I 施加电位: 动态 DAC:16位,,分辨率 0.1 mV 或 ,分辨率 0.33 mV 偏置 DAC:8位,,分辨率 10 mV 通道 2 施加电位: 动态 DAC:8位,,分辨率 10 mV 槽压: 最大电流:100 mA 带宽:>1012 W (除施加电位外的参数值适用于两个通道)
满量程灵敏度:I nA*, (*使用二级增益) 二级增益:xI, xI0 和 xI00 ADC 分辨率:16位 采样率:50 kHz (20 /转换) 数据长度: 点 - 快速
施加电流:50 pA - 50 mA 电压范围: 或 测量电压分辨率:0.02 mV 最大漏电流:30 pA
Windows 7 或更高版本 USB 端口
120 或 240 V AC,
BASi® 保证本公司制造的设备自发货之日起一年内无材料和工艺缺陷,但下文另有规定者除外。此保修假设在普遍接受的操作参数下正常使用,并排除消耗品。BASi® 进一步保证其对货物拥有明确所有权,且货物交付时无任何留置权和产权负担。BASi® 不保证使用货物后有良好效果或无任何不良影响。
所有由 BASi® 制造的产品在发货前均经过测试和检验。但是,如果交付给买方的产品存在缺陷,在买方及时通知后,BASi® 将选择将产品返厂或寄送维修件或替换件的方式,纠正其制造的产品或设备中的任何缺陷。然而,BASi® 没有义务更换或修理任何其认定为被滥用、安装不当、改动、损坏或由他人修理的设备。设备缺陷不包括因化学作用或腐蚀造成的分解、磨损或损坏,或运输过程中造成的损坏。
BASi® 同意,对于在正常和适当使用条件下,自发货之日起90天内证明有缺陷的仪器部件,将自行选择维修或更换,并免除买方的零件费用。
BASi® 既不承担也未授权任何人代表其就其仪器的销售、安装、服务或使用承担任何其他责任。对于因货品或服务的销售、安装、服务或使用而引起的任何原因造成的任何特殊、间接或惩罚性损害,BASi® 概不负责。
此处提供的保修和补救措施是 BASi® 提供的唯一且排他的保修和补救措施,并取代所有其他明示或暗示的保证,包括对适销性和特定用途适用性的保证。
本保修涵盖的有限义务
BASi 拥有技术娴熟的员工,可为您的 BASi 设备提供技术支持。如需服务,请致电 (765) 463-4527 并联系客户服务部。在讨论您的具体困难后,我们将说明适当的行动方案,并相应地解决问题。
在获得退货授权码 (RA#) 之前,请勿退回任何产品进行维修。RA# 用于识别您的发件人身份,并详细描述您遇到的问题。所有信件和货件应发送至:
Service Department Bioanalytical Systems, Inc. 2701 Kent Avenue West Lafayette, IN 47906 RA# '
在操作、维修和修理本仪器的所有阶段,必须遵守以下通用安全注意事项。不遵守这些预防措施或本手册其他地方的特定警告、小心或注意说明,可能会削弱设备提供的保护。这种不合规行为也违反了仪器的设计、制造和预期用途的安全标准。
Bioanalytical Systems, Inc. 对客户未能遵守这些要求不承担任何责任。
如果您注意到以下任何异常情况,请立即停止操作并断开电源线。联系 Bioanalytical Systems, Inc. 服务部门维修仪器。如果您在未修复仪器的情况下继续操作,可能会对设备和操作人员造成危险或损坏。
在本手册中,以下词语和符号将用于标示重要信息:
警告 (WARNING) - 这表示极端危险。不遵守说明可能导致严重伤害或死亡。 小心 (CAUTION) - 以下信息涉及危险。如果未正确遵守说明,可能导致仪器不可逆转的损坏。 注意 (NOTE) - 这意味着以下说明对于用户有效操作设备至关重要。

小心:危险风险。在所有标有此符号的情况下,必须查阅用户手册。

保险丝

开 (电源)
关 (电源)

符合欧盟指令
欧洲废弃电子电气设备 (WEEE) 指令
与电解池和电解池支架(C3、RDE-2、CGME)的连接在 Epsilon EClipse 系统的前面板上进行。所有其他连接,包括电源和 USB 端口,都在后面板上进行。

Epsilon EClipse 系统需要接地的电源,提供 120 VAC at 60 Hz 或 240 VAC at 50 Hz。在连接随附的电源线之前,请检查电源接口旁边的指示器是否显示正确的电压。

如果您因任何原因需要更改电源输入,请联系 BASi 寻求帮助。
Epsilon EClipse 系统需要一台运行 Windows 7 或更高版本的计算机。使用标准的 USB 电缆连接计算机上的任何 USB 端口与 Epsilon EClipse 背面的 USB 端口。每次购买都附带一个包含 Epsilon EClipse 软件的 U 盘。如需最新版本的软件,请发送电子邮件至 ec@basinc.com。
Epsilon EClipse 上的电解池连接口位于仪器前面板的下部。电解池导线电缆是将 Epsilon EClipse 连接到电化学池电极的一组电线。根据仪器是标准恒电位仪还是双恒电位仪,Epsilon EClipse 配备了单通道电解池导线电缆或双通道电解池导线电缆。
警告:切勿在实验进行中或电解池开启时连接或调整电解池导线。这样做可能会损坏敏感的放大器并使您的保修失效。
通用电解池导线电缆的末端是鳄鱼夹,可直接连接到电解池电极。

有3根电极导线和1根接地(屏蔽)导线。
| 黑色: | 工作电极 |
|---|---|
| 红色: | 辅助电极 |
| 白色: | 参比电极 |
| 圆环: | 接地连接器 |

有4根电极导线和1根接地(屏蔽)导线。
黑色 W1: 工作电极 W1
黑色 W2: 工作电极 W2
红色: 辅助电极
白色: 参比电极
圆环: 接地连接器

此电缆可用于直接连接到 BASi 电解池支架上的 LEMO 端口。
好的,这是您要求的完整、忠实、保留原格式的翻译,物理化学名词已加粗,所有符号、公式和图片引用均保持原样:
“

模拟输入和输出仅可用于恒电位技术。W1 和 W2 通道提供了模拟输出(W3 和 W4 在 Epsilon EClipse 上不可用),且必须在软件内激活(参见 7.2 节中的手动控制)。这些输出的满量程输出为 ,用于连接图表记录仪和其他数据采集设备。W1 或 W2 端子应连接到外围设备的“高”或“+”输入端,GND 端子连接到“低”或“-”输入端(请勿使用外围设备上可能存在的任何额外接地)。
E OUT 输出用于监测施加在 W1 上的电位(或在开路电位技术中工作电极的电位),E IN 输入用于从外部源向 W1 施加电位(此外部电位与 Epsilon EClipse 施加的电位叠加)。请注意,当 E IN 被激活时,系统中可能会引入噪声。

远程启动和停止连接为与其他仪器发送和接收信号提供了几种替代方案。这些功能在时间上是固定的,无法修改。对于向远程仪器发送的可编程触发信号,请参见下文的定时事件。
允许外部设备触发实验的开始。请注意,这并非数据采集的开始,从触发到数据采集开始可能会有数百毫秒加上静置时间的延迟。在 START IN 端子及其地线之间施加一个至少 55 毫秒的开关闭合或 TTL-低电平将触发运行。
用于在实验开始时触发其他仪器。它提供一个 1 秒的 TTL-低电平。
不适用于 Epsilon EClipse™。
用于在实验结束时触发其他仪器。它在运行结束时提供一个 1 秒的 TTL-低电平。最后一个数据点采集与此信号之间的时间间隔取决于技术及其参数。

定时事件是可编程的开关闭合,为控制外围仪器提供了极大的灵活性。提供了四个开关,可以连接成常开 (NO) 或常闭 (NC) 配置。下面显示了两种创建 TTL 信号的可能配置。

两种配置下,触发线通常处于 5 V,激活时会跳变为 0 V。在右图中,需要一个电阻 ( ) 来限制从 5 V 电源汲取的电流。这些开关可以在软件中手动激活,或作为序列技术的一部分进行编程(参见 7.4 节和 7.6 节)。
将 Epsilon EClipse 插入计算机的 USB 端口并打开电源后,您可以打开 Epsilon EClipse 软件。软件将自动连接到仪器。您应该在软件的左下角看到消息“Epsilon Connected”。如果您在打开软件时收到以下消息,请检查电源和 USB 连接。

如果连接建立后中断,可以使用 Instrument 菜单中的 Reconnect Epsilon 重新连接 PC 和 Epsilon EClipse 。
本测试的目的是在交付给客户之前对 Epsilon EClipse 进行最终检查,并为客户提供典型的输出和数据。客户可以根据这些输出来验证仪器在送达时是否工作正常,并获得一些操作经验。
请遵循本手册开头的安装说明。如果可用,应将 BASi 电解池支架连接到 Epsilon EClipse 前面板的 CELL STAND 端口。
2 mM 铁氰化钾,含 1 M 硝酸钾的水溶液。
铂 (PTE) 工作电极 (黑色导线) 铂丝辅助电极 (红色导线) 银/氯化银 RE-5B 参比电极 (白色导线)
将 10-15 mL 的铁氰化钾溶液加入电解池小瓶中,并将其放入电解池支架(参见电解池支架说明)。按照抛光套件中提供的抛光说明,用 0.05 μm 氧化铝抛光 PTE。
如果 RE-5B 电极是新的,请在使用前小心取下黄色塑料护套。此外,电极内部 CoralPor 玻封附近可能有气泡;必须将其排除(通过轻弹电极)。不使用时,RE-5B 电极必须存放在 3M 氯化钠溶液中。
图 1 - 选择新技术
图 2 - 编辑循环伏安法的 .etech 文件
图 3 - 循环伏安法图
图 4 - 循环伏安法图的放大区域
图 5 - 数据显示设置对话框
图 6 - 文件转换
图 7 - 叠加的循环伏安图
图 8 - 新的循环伏安法参数
图 9 - 计时电流法/计时库仑法的参数
图 10 - 计时电流法/计时库仑法图
图 11 - 计时电流法/计时库仑法的 Q vs. sqrt(T) 图
图 12 - 线性图的斜率和截距计算
图 13 - 计时电位法的参数
图 14 - 计时电位法图
图 15 - 方波伏安法的更改参数对话框
图 16 - 方波伏安法的默认图
图 17 - 方波伏安法的正向电流图
化学测试到此结束。所有打印输出都应随仪器一起发货。电源线和电解池导线(电解池端带鳄鱼夹)随 Epsilon EClipse 一起发货。
BASi 电解池支架的各种操作(吹扫、搅拌和敲击/滴下)可以从 Epsilon EClipse 控制。
RDE-2 旋转圆盘电极的旋转和吹扫功能可以从 Epsilon EClipse 控制。
如果您希望升级您的技术包,或者希望将您的单通道仪器升级为双恒电位仪,请联系 BASi。
更多信息可以在 BASi 网站上找到: http://www.basinc.com/products/ec/epsilon/upgrade
本部分详细描述了可用的电化学技术以及如何使用电化学软件来执行它们。这些功能都可以从软件的下拉菜单中访问。一些功能也以图标形式出现在工具栏上。可用路径将在相应部分中注明。如果您是该仪器的新手,我们建议在安装后进行化学测试,这是一个示例电化学实验的详细分步指南,以熟悉 Epsilon EClipse 软件的基本功能。
Epsilon EClipse 软件在 Windows 操作系统中运行。它与 Microsoft Windows 7 及更高版本兼容。需要注意的是,Epsilon EClipse 有多种不同的配置,其功能各不相同。本手册文本中清楚地说明了某个功能或电化学技术是 Epsilon EClipse 仪器的标准配置,还是仅作为可选附加功能提供。所有不可访问的可选附加功能都将被标记为 DEMO。
安装软件后,可以通过双击桌面上的图标来打开它。软件应自动与仪器连接。如果自动连接失败或连接丢失,请在 Instrument 菜单中选择 reconnect epsilon。
Instrument 菜单允许更改所连接的 Epsilon EClipse 的各种设置和控制。其中一些选项仅在打开某项技术时可用。
此菜单选项允许连续更新测量 W1 电极的开路电位。请注意,在测量过程中电解池处于开启状态,在通过点击 Done 按钮终止测量之前,不应断开或调整电解池。
此菜单选项仅在打开适用技术时可用。此测量不适用于恒电流、开路电位或多通道技术。如果菜单选项呈灰色,请在打开的技术窗口的绘图部分单击鼠标以激活该命令。
选择此菜单选项将激活所打开技术中的 IR Comp Measurement 部分。请注意,在测量过程中电解池处于开启状态,在测量完成之前不应断开或调整电解池。在选择此菜单项之前,您可以选择更改技术参数中的测试电位 (Test Potential (mV))。
如果 Epsilon EClipse 在任何时候断开连接,您可以使用此菜单选项重新连接仪器。
| 设置 (Setup) | x | |
|---|---|---|
| 线路频率 (Line Frequency) 50 Hz 60 Hz 默认显示类型 (Default Display Type) IUPAC 极谱 (Polarographic) | 电解池支架 / 配件 (Cell Stands / Accessories) C3 - Cell Stand CGME SMDE Mode RDE-2 确定 (OK) |
此选项选择电源的频率,用于计算脉冲和方波实验中一种电流采样选项所需的时间。在一个线路周期内测量电流对于最小化噪声非常重要。
此选项选择默认显示类型,极谱 (Polarographic) 或 IUPAC。更多信息请参见 7.8 节。
必须选择正确的选项才能从软件控制各种电解池支架的操作(即,C3 的吹扫和搅拌;CGME 的吹扫、搅拌和敲击/滴下;RDE-2 的吹扫和旋转)。在选择电解池支架之前,必须按照第 5 节的描述打开电解池支架并连接到 Epsilon EClipse 。

BASi 电解池支架的吹扫和搅拌功能可以从此对话框中打开和关闭。如果启用其中一个功能,还必须输入该功能激活的时间。Stop 按钮用于在指定时间之前停止此功能。必须从 Cell Stand/Accessories(参见上面的 Setup 信息)中选择适当的电解池支架,以确保这些功能的正常激活。对于 RDE-2,在 Stir/Rotate 字段中输入的时间指的是电极的旋转。
这些选项激活后面板的定时事件继电器(参见第 3 节)。
此选项指定电化学池当前是否与仪器主动连接(Cell On 被选中)。默认情况是断开连接(Cell On 未被选中)。这是最安全的选择,因为在电解池连接时操作电解池导线连接可能会对用户造成伤害并严重损坏仪器。如果选中了 Cell On,还必须指定施加到电解池的电位(@ Potential (mV))。电位可以在仪器能够产生的两个范围之一中施加, 或 。当前电解池状态将保持直到运行实验。在实验期间,电解池显然是连接的;实验结束时的电解池连接在技术参数中定义(参见 7.4 节)。
这些选项激活后面板的定时事件继电器(参见第 3 节)。
根据版本的不同,Epsilon EClipse 软件中提供了多种不同的电化学技术。例如,最基础的版本有循环伏安法 (CV)、线性扫描伏安法 (LSV)、计时电流法 (CA)、控制电位电解 (CPE)、直流电位电流法 (DCPA)、开路电位 vs. 时间 (OP) 和计时电位法 (CP)。软件的 basic plus 版本包括采样电流极谱法 (SCP)、常规脉冲伏安法 (NP)、差分脉冲伏安法 (DPV)、方波伏安法 (SWV) 和溶出伏安法。方法软件支持序列技术的制备。可以按顺序制备无限数量的技术。这些技术有不同的应用,将在其他部分详细讨论。有两种方法可以选择技术:
从 File 菜单中选择 Open 将生成一个标准的 Windows 文件对话框,从中可以加载以前保存的技术文件。在 Epsilon EClipse 软件中创建的技术将具有 .etech 扩展名。也可以打开旧版技术文件(在旧的 Epsilon 软件中创建)。您可以选择特定的文件类型扩展名,也可以查看所有文件类型。Epsilon EClipse 软件的其他可能文件类型扩展名包括用于数据的 .edata 和用于序列的 .eseq。
打开文件
打开文件时,所有存储的技术参数都显示在图的右侧(图 2)。打开旧版文件时,将显示实验数据。技术窗口可以拖动到主窗口内的不同位置。可以使用 Window 菜单中的相应选项将多个窗口垂直平铺、水平平铺或层叠。

所有文件也可以从计算机上的任何文件夹中选择并拖入软件窗口。这允许即时打开许多文件。
从 File 菜单或 New 图标中选择 New 将生成一个列出可用技术的菜单。选择所需的技术,技术参数窗口将出现。
技术列表
可以通过在 File 菜单中选择 New 来打开一个新技术。需要注意的是,有些技术被标记为 DEMO。此标签表示该技术在此特定的 Epsilon EClipse 上未激活。但是,可以加载该技术的数据文件以检查参数和典型输出。如果在活动窗口中显示 DEMO 数据文件时点击 RUN 按钮,将显示错误消息。突出显示所需的技术,并点击 OK 确认选择。
可以通过在 File 菜单中选择 Open 来打开以前保存的技术。所有以前保存的技术都将具有 .etech 文件扩展名。如果启动了第二个文件,该实验的数据将显示在一个单独的窗口中。实验窗口可以拖动到主窗口内的不同位置。可以使用 Window 菜单中的相应选项将多个窗口垂直平铺、水平平铺或层叠。
好的,这是您要求的完整、忠实、保留原格式的翻译,物理化学名词已加粗,所有符号、公式和图片引用均保持原样:
“
此功能允许用户在外部 W1 电解池导线连接(在电化学池上运行实验所需)或内部模拟池(用于故障排除)之间进行选择。内部模拟池有两个选择——一个 或一个 的电阻。当选择 C3 电解池支架、CGME SDME 模式或 RDE-2 时,外部 W1 电解池导线也默认被激活。
请注意,内部模拟池选项不适用于控制电位电解 (CPE)、计时电位法 (CP) 或双阶跃计时电位法 (DSCP)。
当电解池选择设置为 CGME SDME 模式时,此选项可用。此模式应与 BASi CGME 电解池支架一起用于极谱法和溶出实验。它也可以用于在整个实验中使用单滴汞的伏安实验。实验前的滴数 (Pre Run Drops) 和滴汞敲击操作 (Knock) 都可以在本节中指定。对于大多数恒电位实验,实验前的滴汞是在电解池开启并处于初始电位下形成的(对于溶出实验,则是在沉积电位下形成)。
请注意,PRE RUN DROPS 不适用于控制电位电解 (CPE)。
当电解池选择设置为 RDE-2 时,此选项可用。此模式用于在技术运行期间以指定的 RPM (0 或 50-10,000) 启用旋转。此模式也可用于溶出伏安法实验。
技术的这一部分允许用户输入一些有用的参数来描述电化学池(例如溶剂、电极等)。这些信息会与数据和其他实验参数一起保存。
为方便起见,可以从列表中选择 BASi 的各种电极,并将自动填充适用的电极信息。
这些参数仅适用于溶出伏安技术 (LSSV, SWSV, 和 DPSV)。有关这些参数的更详细信息,请参见 7.5 节。
此参数决定了技术的启动方式。如果选择 Immediate 选项,技术将在用户通过软件运行技术后立即开始。如果选择 External Input,实验将使用后面板的 Start In 连接从外部设备启动(参见第 3 节)。
一些技术 (CV, LSV, CA, MCCV, MCCA, 以及所有脉冲技术) 都有一个选项来指定 Initial E = Open Circuit Potential。如果启用此参数,则将自动测量开路电位并将其用作初始电位。这些技术,以及所有溶出技术,还允许设置静置时间 Quiet Time (s)。当实验开始时,这将使电解池在该字段定义的秒数内保持在初始电位。
技术参数部分可用的选项将根据所选的技术而变化。一些常用参数将在以下部分讨论。有关特定技术参数的更详细信息,请参见 7.5 节。
对于大多数技术,W1 施加电位可以设置在两个范围内: 或 。施加电位设置的数量和种类将根据所选的技术而变化。
对于双恒电位仪技术,W2 施加电位被限制在 范围内。
请注意,在旧的 Epsilon 仪器上使用 Epsilon EClipse 软件时, 范围将不可用。
对于某些技术,施加的波形将显示在技术参数左侧的图中。这允许确认输入的参数生成了预期的波形。
扫描速率参数定义了 CV、LSV 和 MCCV 技术中施加的扫描电位的速率。数字波形发生器用一个阶梯波形来近似线性波形,步长为 (在 范围内)或 (在 范围内)。由于波形是数字生成的,因此只允许离散的扫描速率。允许的扫描速率由以下公式给出,其中 是一个整数。因此,如果输入的扫描速率与允许值不匹配,软件将自动将其更改为最接近的允许值。允许的最大扫描速率为 。
电流-电压转换器有两个增益级。软件会为给定的满量程电流 ( +/- ) 确定这些增益级的默认值。但是,可以使用 Current Range Stage 1 和 Current Gain Stage 2 参数手动调整它们。
当手动设置时,电流-电压转换器的两个增益级控制满量程电流 ( +/- )。第一级的数值以十倍为单位,从 100 nA 到 10 mA,而第二级是一个乘数,值为 I, 0.I, 和 0.0I;也就是说,最低的满量程是 InA。对于中间的满量程值,有多种组合方式,软件选择的默认值适用于大多数应用。
模拟滤波用于从实验数据中去除噪声。Epsilon EClipse 中的滤波由一个二阶贝塞尔滤波器组成。必须谨慎选择滤波量(滤波器的截止频率),因为过度滤波会扭曲实验数据。正确的滤波器频率取决于实验的时间尺度,软件会选择其比电化学实验的时间尺度大至少 10 倍。虽然可以手动选择替代滤波器,但通常最好使用默认滤波器。
除了恒电流和开路电位技术外,一项技术可以自动重复运行相同的实验指定的次数。重复的次数在 Number of Runs 字段中输入。
当 Number of Runs 大于 1 时,End Cell State 部分将包含额外的字段。实验之间的时间通过 Delay Between Runs (s) (2-3600s) 定义。如果在 Purge During Delay 和/或 Stir During Delay 被启用,则在实验之间将激活吹扫和/或搅拌。
多次运行期间收集的所有数据都可以在一个数据文件中显示和保存。要查看每次单独运行的数据,请双击图的左侧或右侧以循环浏览数据。
有关补偿及其使用时机的更多信息,请参见 7.2 节。请注意,iR 补偿不适用于恒电流技术、开路电位或多通道技术。
在电化学实验中,施加在两个电极之间的电位没有考虑溶液电阻,这会导致两个电极之间的 iR 压降。通过添加支持电解质可以降低这种电阻,如果溶液导电性足够好,则无需考虑。如果它对实验有害,则可以通过电子方式进行补偿。这在 Epsilon EClipse 上是使用正反馈 iR 补偿实现的。
正反馈 iR 补偿的一个问题是确定要使用的补偿量,因为过多的反馈会使电子设备进入振荡状态,这可能对电子设备和电极产生有害影响。Epsilon EClipse 上的自动 iR 补偿选项通过首先测量未补偿的溶液电阻,然后进行增量补偿和电路稳定性测试来防止这种情况。这些功能将在下面描述。

在此测量中,电化学池在电子上被认为等效于上图所示的 RC 电路;也就是说,未补偿电阻 (RU) 与双电层电容 (CdI) 串联。由于法拉第阻抗不作为此模型的一部分,测试电位必须处于不发生法拉第过程的值。在此电位施加一个电位阶跃,并在阶跃施加后的一系列设定点对电流进行采样。电流呈指数衰减(见下图),初始电流 (10) 通过外推至零时间计算得出。由于 E = IORU,RU 可以从此测量中计算出来。为减少任何误差,此测量会执行多次,并对结果进行平均。

补偿是通过向恒电位仪进行正反馈来实现的。然而,即使补偿程度远小于 100%,也可能出现电路不稳定的问题。因此,正反馈的量是递增的,并且在每次增加后测试电路的稳定性。正反馈的量会一直增加,直到达到(用户指定的)% 值(默认 = 100%),或者系统未通过稳定性测试。

在稳定性测试中,再次测量在测试电位下施加电位阶跃后的电流。随着补偿百分比的增加,电流响应最初显示出“振铃效应”,这是振荡的前兆(见上图),然后是指数衰减。振荡前的振铃程度可以用一个称为过冲 (overshoot) 的术语来量化,即最小(净负)电流值 (lmin) 与最大电流值 (Imax) 之比的百分比表示:即,过冲 = (Imin / Imax) × 100。最大允许的过冲百分比由用户定义(默认 = 20%)。如果稳定性测试测得的过冲百分比值小于最大允许值,则增加补偿。如果它更大,并且尚未达到所需的补偿水平,则在参比电极和辅助电极之间插入一个电容器以稳定电路,并继续测试,直到达到所需的补偿水平或超过过冲百分比值(如果发生这种情况,实验中使用的补偿量将从此值略微降低)。增加补偿水平的一种方法是增加过冲百分比。通常可以安全地增加到 40%。
如果使用自动 iR 补偿无法获得所需的补偿,则可以应用用户指定的补偿电阻。如果使用此选项,则可能还需要手动选择一个稳定电容器。
在技术运行时启用或禁用 iR 补偿。
使用 iR 补偿的最简单方法是输入用户指定参数 (User Assigned Parameters)。但是,如果用户愿意,软件将使用仪器自动计算补偿(更多信息见下文)。如果选择用户指定参数,应输入补偿电阻 (Compensated Resistance) (0-100 kΩ) 和稳定电容器 (Stabilization Capacitor) (None, Small, or Large) 的值。
当从 Select IR Comp Run Parameters 下拉框中选择系统测量参数 (System Measured Parameters) 时,用户必须为测试电位 (Test Potential) 输入一个值(注意这应该是一个没有法拉第反应发生的值)。
从 Instrument 菜单中选择 Measure IR Compensation 开始测量。完成后,以下结果将填充在系统测量参数下:
确保将 Run Technique with IR Comp 设置为 Enabled,以使用这些测量值运行实验。
这些选项指定电化学池在实验结束时是否保持主动连接状态,如果是,则处于何种电位。默认情况是 Cell Off(即电化学池未主动连接)。如果要使电解池保持主动连接,施加的电位可以是实验的初始电位 (Cell On @ Initial Potential) 或最终电位 (Cell On @ Final Potential)。它也可以根据在 Specified Potential (mV) 中输入的值,保持在用户指定的电位下主动连接 (Cell On @ Specified Potential)。
警告:如果使用任何 CELL ON 选项,都应小心,因为在电解池开启时连接或断开电极可能导致恒电位仪、电解池和/或用户受损!
请注意,结束时电解池状态参数不适用于恒电流技术或开路电位。
当 Number of Runs 设置为大于 1 的值时,参数的这一部分将包含用于设置实验间延迟 (Delay Between Runs (s))、延迟期间搅拌 (Stir During Delay) 和 延迟期间吹扫 (Purge During Delay) 的额外字段。
循环伏安法 (CV) 是最常用的电化学技术之一,它基于线性电位波形;即,电位随时间呈线性函数变化。
有关 CV 波形的示例,请参见上图。电位范围从初始电位开始扫描。在切换电位 1,电位范围再次反向扫描。实验可以在终止电位停止,或者电位可以扫描超过此电位到切换电位 2,在那里电位扫描方向再次反转。在实验于终止电位结束之前,电位可以在两个切换电位之间循环几次。(段数的实际限制基于实验期间可收集的最大 64,000 个数据点。)扫描速率定义了电位随时间的变化率。
允许的参数值范围:
循环伏安法波形
定义的波形将取决于段数:
可以添加超过 4 个的额外段,但这些段将是这四个设置的重复。段数的实际限制基于实验期间可收集的最大 64,000 个数据点。扫描速率定义了电位随时间的变化率。
CV 的默认图是电流 vs. 电位图 ( I vs E )。其他图类型可以通过右键单击图形并选择 I vs t (电流 vs. 时间), E vs t (电位 vs. 时间, 即施加的波形), 以及派生图 Semi Int 和 Semi Diff 来选择。
电流 vs. 电压 CV 图的不对称形状是由于扩散传质造成的。然而,还有许多其他参数会影响此曲线的形状;例如,缓慢的非均相电子转移动力学、氧化或还原物种的不稳定性以及吸附。如果非均相电子转移是快速的(相对于实验的时间尺度),并且氧化和还原物种都是稳定的,那么该氧化还原过程被描述为电化学可逆的。标准氧化还原电位是阴极和阳极峰电位的平均值,并且在所有扫描速率下,峰分离为 (n = 每个分子转移的电子数)。

在 时的峰值电流由 Randles-Sevcik 方程给出:
其中: 转移的电子数/分子 A = 电极表面积 (cm2) C = 浓度 ( ) D = 扩散系数 ( )
该方程表明,峰值电流与浓度成正比,与扫描速率的平方根成正比。一个氧化还原过程偏离可逆行为的表现是上述参数与可逆过程观察到的值的差异。不可逆行为有两个主要原因,将在下面讨论。
好的,这是您要求的完整、忠实、保留原格式的翻译,物理化学名词已加粗,所有符号、公式和图片引用均保持原样:
“
可逆性要求电子转移动力学足够快,以将 O 和 R 的表面浓度维持在能斯特方程所要求的值。因此,可逆性取决于标准非均相电子转移速率常数 () 和电位变化速率——扫描速率 的相对值。如果 的比值足够小,以至于无法维持能斯特浓度,则称该过程为准可逆的。准可逆过程的特征是 ,且其值随 的增加而增加。
由于可逆性取决于 的值,因此通过降低 (这使得表面浓度有更多时间调整到因电位变化而需要的新值)可能将一个过程从准可逆变为可逆。此外, 取决于 的值,因此可以从 随 的变化来计算 ks。
不幸的是, 随 n 的增加也可能是由于未补偿溶液电阻 造成的。 的影响可以通过仔细的实验设计、电子正反馈补偿和运行后数据处理来最小化。这两种效应可以通过改变分析物浓度来区分(由未补偿溶液电阻引起的电位降,以及由此产生的 ,随电流增加而增加,而 与分析物浓度无关)。
只有当 O 和 R 在实验时间尺度上都稳定时,才能在循环伏安实验中维持 O 和 R 的平衡值。例如,如果 O 还原为 R 后,R 接着转化为 P,那么必须生成更多的 R 来补偿 R 的损失。因此,还原速率增加, 向更正的值移动。此外, 小于 1(因为在正向扫描中被还原的分子中只有一部分可在反向扫描中被重新氧化)。电流函数的值也可能受到电子转移后化学反应的影响。
化学反应的影响取决于比值 的大小(其中 k 是化学反应的速率)。如果这个值很大,那么化学反应有显著影响,而如果这个比值很小,任何影响都会小得多。因此,通过增加 可能消除化学反应的影响(从而恢复可逆性)。k 可以通过模拟研究或研究 对 的影响来计算。
尽管循环伏安法被广泛用于分子的初始氧化还原表征(即氧化还原电位和不同氧化态的稳定性)以及伴随电子转移的化学反应的定性研究,但该技术存在一些固有的缺点: a. 缓慢的非均相电子转移和化学反应的影响无法分开。如果这两种效应都存在,那么这些过程的速率常数只能使用模拟方法计算。 b. 在整个实验过程中存在一个背景充电电流,其大小为 (其中 是工作电极界面的电容)。这将检测限限制在约 。此外,峰值法拉第电流与充电电流的比值随 的增加而减小(因为 ip 与 成正比),这给可以使用的 n 值设置了一个上限。
尽管存在这些限制,循环伏安法非常适合广泛的应用。实际上,在某些研究领域,循环伏安法是用于表征的标准技术之一。
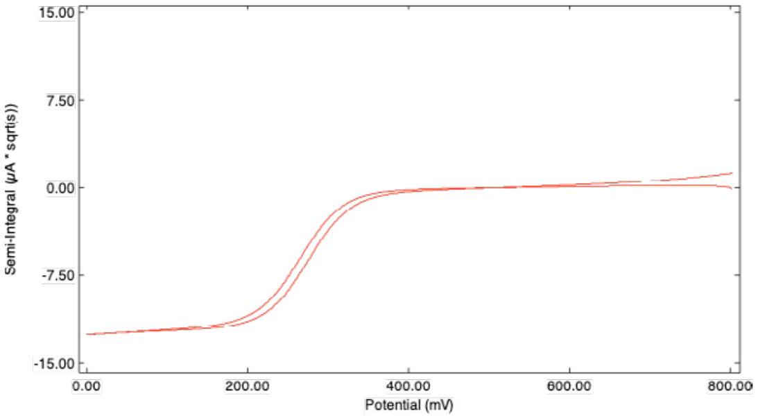
LSV 和 CV 的默认图是电流 vs. 电位图。但是,还有另外两种图可用:半积分 (Semilntegration) 和半微分 (SemiDifferentiation)(见下图)。这些是基本电流 vs. 电位图的数学变换。
循环伏安图

一个典型的循环伏安图,在使用 2 mM 铁氰化钾和 1 M 硝酸钾的去离子水溶液中进行半积分处理后得到。
一个典型的循环伏安图,在使用 2 mM 铁氰化钾和 1 M 硝酸钾的去离子水溶液中进行半微分处理后得到。
线性扫描伏安法 (LSV) 是 CV 的简化形式。该技术等同于由单个段组成的 CV 技术。对于 LSV,只需要初始电位、终止电位和扫描速率即可构建施加的波形。
允许的参数值范围:

计时电流法 (CA) 和计时库仑法 (CC) 具有相同的电位波形——电位阶跃,这是最简单的电位波形之一。

请参见上图中的示例波形。电位从初始电位瞬时变为第一阶跃电位,并在此值保持第一阶跃时间。这是一个单电位阶跃实验。在双电位阶跃实验中,电位在第一阶跃时间后变为第二阶跃电位,然后在此值保持第二阶跃时间。在 CA 中,监测电流随时间的变化,而在 CC 中,监测电荷随时间的变化。需要注意的是,Epsilon EClipse 上的基本电位阶跃实验是 CA;也就是说,在实验过程中,记录的是电流随时间的变化。然而,实验结束后,数据也可以显示为电荷随时间的变化(电荷是通过对电流积分计算的)。因此,可以获得计时库仑法数据。
CA 与其他恒电位技术(如 CPE 和 DCPA)的不同之处在于 CA 的时间尺度(毫秒和秒)比 CPE 和 DCPA 的时间尺度(秒和分钟)短。
允许的参数值范围:
采样间隔由这些参数决定,只能由用户间接调整。这些参数之间的关系由以下公式表示 采样间隔 = 阶跃时间 / 最大点数
但是,应该注意的是,每个参数只允许某些值,如下表所示:
| 最大点数 | 1000 | 2000 | 4000 | 8000 | 16000 |
|---|---|---|---|---|---|
| 采样间隔 | 最大阶跃时间 (/ms) | ||||
| 20 | 40 | 80 | 160 | 320 | |
| 40 | 81 | 162 | 325 | 650 | |
| 100 | 200 | 400 | 800 | 1600 | |
| 200 | 400 | 800 | 1600 | 3200 | |
| 406 | 812 | 1625 | 3250 | 6500 | |
| 1 ms | 1000 | 2000 | 4000 | 8000 | 16000 |
| 2 ms | 2000 | 4000 | 8000 | 16000 | |
| 5 ms | 4062 | 8125 | |||
| 10 ms | 10000 |
CA 的默认图是电流 vs. 时间图 (I vs t)。CC 的图可以通过右键单击图形并在派生图菜单中选择 Q vs t 来显示。该图由软件通过对 I vs t 图积分计算得出。派生图 Q vs sqrt(t) 和 I vs 1/sqrt(t) 也可以显示。
电流/电荷响应取决于初始和最终电位的值。如果在两个电位下都没有法拉第反应发生(法拉第反应是溶液中任何分子的电解),那么响应是由于电极充电(充电电流或背景电流)。响应是一个电流“尖峰”,呈指数衰减,如下所示。通常,初始电位是一个不发生法拉第反应的电位,而最终电位是一个法拉第反应发生得非常迅速的电位。因此,电活性分子一旦到达工作电极表面就会被电解。因此,电流由从本体溶液到工作电极表面的传质速率决定;即扩散速率。
使用 2 mM 铁氰化钾和 1 M 硝酸钾在去离子水中的双电位阶跃计时电流法实验的电流-时间响应。
扩散控制由科特雷尔方程 (Cottrell equation) 描述:
其中: 转移的电子数/分子 F = 法拉第常数 ( ) A = 电极面积 (cm2) D = 扩散系数 ( cm 2 s - I ) 浓度 ( ) 时间 ( s )
这表明,在这些条件下,电流与时间的平方根的倒数之间存在线性关系。i vs. 的图通常被称为科特雷尔图,如下所示。
使用 2 mM 铁氰化钾和 1 M 硝酸钾在去离子水中的计时电流法实验的科特雷尔图。
计时库仑法 (CC) 数据的分析基于安森方程 (Anson equation),该方程定义了线性扩散控制下的电荷-时间依赖关系:
电荷-时间 (Q-t) 关系(安森方程)是通过对科特雷尔方程随时间积分得到的。典型的电荷-时间图如下所示。

电荷是电流的积分,因此 CC 的响应随时间增加,而 CA 的响应随时间减小。由于信号响应的后半部分必须用于数据分析(恒电位仪的有限上升时间使早期时间点无效),CC 在后半部分具有更大的信号响应,这使其成为许多应用中更有利的电位阶跃技术(此外,积分降低了噪声水平)。
计时库仑法实验的安森图
科特雷尔图和安森图的斜率和截距可以通过 Epsilon EClipse 软件测量。由于科特雷尔图和安森图的斜率由 n, A, D, 和 C 决定,如果其他三个参数已知,则可以从斜率计算其中一个参数。电极表面积 (A) 和扩散系数 (D) 经常用这种技术计算。
需要注意的是,在任何电位阶跃实验中,由于恒电位仪的有限上升时间,达到阶跃电位存在延迟。这种非理想行为影响了在此延迟期间测量的数据点的有效性,因此在计算斜率和截距时会丢弃这些数据(Epsilon EClipse 软件的默认情况是使用最后 80% 的数据点)。早期数据点的非线性在科特雷尔图中表现得最清楚,这是由于时间倒数函数(即,早期数据点 = 大的 x)。相比之下,非线性在安森图中则不那么明显。
双电位阶跃技术可用于研究电子转移后化学反应的动力学。如别处所讨论,作为第一电位阶跃结果形成的 O 分子中只有一部分在第二阶跃期间再次被还原。因此,由第二阶跃引起的电流或电荷( 或 )小于由第一阶跃引起的电流或电荷( 或 )。如果 O 发生化学反应生成一个在第二阶跃后不被还原的分子,那么可供还原的 O 分子就更少了,ir 和 Qr 会相应减少。化学反应的速率 ( k ) 可以通过研究改变阶跃时间对 (或 )比值的影响,并将这些值与已发表的工作曲线进行比较来计算。尽管 和 都有可用的工作曲线,但由于信噪比更好,CC 通常更受青睐。
CC 的主要应用之一是研究吸附在工作电极表面的物种(实际上,它最初就是为此类研究而设计的)。使用 CC 而不是 CA 的优点是,可以将吸附分子的电解所产生的电荷与溶液中分子的电解所产生的电荷和双电层电荷分离开来(相应的电流分离通常是不可能的)。这是通过使用安森图实现的。
如上所述,溶液物种的电解是扩散控制的,并依赖于 。相反,吸附物种的电解和双电层充电基本上是瞬时的。总电荷 Q 的方程如下所示。
其中:
因此,安森图的截距是 和 的和。从方程中消除 的一种方法是仅对电解质进行相同的实验。然而,这种方法假设在存在和不存在吸附分析物的情况下 是相同的,这通常不是一个有效的假设。另一种方法是使用双电位阶跃实验。如果 O 和 R 中只有一个吸附,那么 是两个阶跃的安森图截距之差。
需要注意的是,我们正在使用实验后期时间域的数据来研究发生在早期时间点的行为。这表明积分保留了与电位阶跃几乎同时发生的电解信息。这是 CC 的一个主要优点,因为直接测量这种行为通常非常困难。
在所有上述应用中,初始电位处于一个不发生电解的值,而阶跃电位处于一个以扩散控制速率发生电解的值(第二阶跃通常是从阶跃电位回到初始电位)。因此,在确定这些电位之前,必须首先知道氧化还原电位。通常,找到这些电位最简单的方法是记录分析物的循环伏安图。
好的,这是您要求的完整、忠实、保留原格式的翻译,物理化学名词已加粗,所有符号、公式和图片引用均保持原样:
“
控制电位电解 (CPE) 实验背后的原理非常简单。如果最初只存在氧化态物种,那么电位被设定在一个足够负的恒定值,以引起快速还原,并仅维持在此值直到溶液中存在还原态物种。CPE 实验期间通过的总电荷 (Q) 通过对电流积分计算得出,并通过法拉第定律与每个分子转移的电子数 (n) 和最初存在的氧化态物种的摩尔数 (N) 相关联:
其中 F 是法拉第常数 (96500 C mol-I)。因此,如果 n 或 N 中的一个已知,另一个就可以被计算出来。因此,CPE 既有分析应用也有合成应用。
在 CPE 实验期间,辅助电极和参比电极之间会接入一个稳定电容器。电容器可以设置为大 (Large) ()、小 (Small) () 或无 (None)。
CPE 实验的结束条件可以由用户以多种方式设置。最基本的标准是时间限制 (Time Limit),必须由用户设定;也就是说,实验将在用户定义的时间段后结束(为结束条件选择 Time Limit Only)。然而,还有三个可选的标准也可以设置:
这些可选标准中的任何一个都可以与时间限制一起使用。然而,需要注意的是,时间限制总是优先的;也就是说,如果时间限制在例如电荷超过电荷限制之前达到,实验将会结束。还应注意,由于数据处理所需的时间,在选定标准被超过和实验终止之间通常会有 1 或 2 秒的延迟。如果使用这些可选标准中的任何一个,多次运行功能将被禁用。
允许的参数值范围:
时间限制的最大值也由采样间隔决定,因为一次实验最多可以记录 64000 个数据点。
CPE 技术的输出是电流 vs. 时间图。电荷 vs. 时间图可以通过右键单击图形并在派生图菜单中选择 Q vs t 来显示。
CPE 实验所需的电位由分析物的氧化还原电位决定(例如通过循环伏安法测量)。对于还原反应,理想的电位大约比氧化还原电位负 200 mV,这样电解速率就由到工作电极的传质速率控制。然而,由于其他电活性物质(即电解质、溶剂或溶液混合物的其他组分)的电解,并不总是能使用离氧化还原电位太远的电位。
CPE 所需的电解池与伏安实验所需的电解池有显著不同(在伏安实验中,只有极小一部分感兴趣的电活性分子被电解)。通过使用大表面积的工作电极(即铂网、网状玻璃碳或汞池)和大表面积的辅助电极(即铂螺旋或铂网)可以提高电解速率;此外,搅拌溶液以增加到工作电极和从工作电极传出的传质速率。辅助电极必须与工作电极隔离,以防止在辅助电极上电生成的物种干扰工作电极的电解。然而,在选择用于隔离辅助电极和工作电极的材料时必须小心,因为高电阻材料可能会影响电解效率。CPE 实验的输出是电流 vs. 时间图,如下所示。
控制电位电解图

使用 0.5 mM 铁氰化钾和 1 M 硝酸钾在去离子水中的恒电位电解的电流 vs. 时间图,施加电位为 0.0 V vs. Ag/AgCl,搅拌速率为 400 rpm。
净电荷 (Net Charge) 是通过从实验期间通过的总电荷 (Charge) 中减去背景电荷计算得出的。假设背景电流在实验期间是恒定的,并等于 End I。因此,背景电荷等于背景电流与实验时间的乘积。一旦计算出净电荷,就可以通过法拉第定律用它来计算转移的电子数或电解的物质的量(摩尔):
转移的电子数/分子 法拉第常数 ( mol-I) 电解的物质的量 (mol)
直流电位电流法 (DCPA) 是 Epsilon EClipse 上最简单的技术。向电化学池施加一个恒定电位,并监测电流响应。该技术的典型应用包括电流滴定、电流传感器、流通池(包括带电化学检测的液相色谱)等。
通过在 Cell Selection 框中选择 CGME SDME Mode,可以使用 BASi CGME 在悬汞滴电极上运行 DCPA 实验(即整个实验使用单滴汞)。通过在 Cell Selection 框中选择 RDE-2,并输入所需的 RPM,可以使用 BASi RDE-2 运行旋转圆盘实验(请注意,必须在 Instrument 菜单中通过进入 Setup 选择 CGME 和/或 RDE-2)。
DCPA 实验的结束由时间限制 (Time Limit) 决定,尽管用户可以在此之前结束实验。
允许的参数值范围:
时间限制允许的最大值也由采样间隔决定,因为一次实验最多可以记录 64000 个数据点。
施加的电位由分析物的氧化还原电位决定。例如,如果 DCPA 用于 HPLC 的 EC 检测,电位应使分析物以传质限制的速率被电解(由流体动力学伏安法确定)。然而,在选择电位值时,可能还需要考虑随着正电位或负电位的增加,噪声的增加和选择性的降低。
开路电位(也称为平衡电位、静息电位或腐蚀电位)是没有电流时的电位;也就是说,基于测量开路电位的实验是电位实验。尽管这类测量非常简单,但它们有许多重要的应用,下面将简要讨论。
设置 OP 技术非常简单。请注意,此技术不提供多次运行选项。除了此测量外,还可以使用 Experiment 菜单中的 Measure Open Circuit Potential 来监测开路电位。此外,可以在另一个实验(即循环伏安法)之前测量此电位,并可以自动用作初始电位。
电位浓度测量(即电位滴定)的基础是能斯特方程,该方程将电极表面电活性物质的浓度 (CS) 与该电极的电位 (E) 联系起来;也就是说,对于反应
其中 ' 是电子转移反应的形式电极电位。电位 E 是在两个电极之间测量的:指示电极和参比电极(对于 epsilon 上的电位测量,辅助电极是断开的)。选择指示电极,使其电位对溶液中分析物的浓度敏感(即用于测量 pH 的玻璃膜电极),而参比电极(即饱和甘汞电极或银/氯化银电极)为测量指示电极的电位提供一个稳定的参考电位。
其他重要的开路电位测量包括电池的开路电位和腐蚀系统的平衡(腐蚀)电位。
Epsilon EClipse 仪器既包含一个恒电位仪也包含一个恒电流仪,因此可以执行控制电位(恒电位)和控制电流(恒电流)的实验。尽管恒电位实验更为常见,但在某些应用中,恒电流仪具有优势。
恒电流仪使用三电极配置,在辅助电极和工作电极之间施加电流,并监测工作电极的电位(相对于参比电极测量)。控制电流实验的基础是,必须在工作电极表面发生氧化还原(电子转移)反应,以支持施加的电流。例如,如果溶液中存在铁氰化物,那么还原电流将导致工作电极上铁氰化物还原为亚铁氰化物(注意,辅助电极上也必须发生一个平衡的氧化反应)。恒电流仪的常见应用包括恒流溶出电位法和恒流电解(包括那些恒定电解速率很重要的应用,如电沉积和电池研究)。所有恒流技术的一个优点是,由溶液电阻引起的欧姆压降也是恒定的,因为它等于电流和溶液电阻的乘积。因此,欧姆失真可以通过一个恒定的电位偏移来简单地校正。相比之下,在恒电位实验中(即循环伏安法),电流以及因此的欧姆压降随电位变化,校正更为复杂。

计时电位法 (CP) 是最基本的恒流实验。在 CP 中,向电化学池(不搅拌)施加一个电流阶跃。
施加电流值以 , 或 pA 为单位输入,具体取决于选择的施加电流范围。电流极性由施加电流约定(IUPAC 为正氧化电流,极谱法为正还原电流)决定。实验的结束可以由时间限制或由 End at Upper Limit/End at Lower Limit 选择决定(值的范围取决于选择的电位测量范围)。实验也可以手动结束。
允许的参数值范围:
请注意,在施加亚 nA 电流时存在精度限制。Epsilon EClipse 通常具有约 30 pA 的背景电流,以及在 8 小时内约 5 pA 的漂移。然而,可能可以确定给定仪器的平均背景电流,从而“校正”施加的电流以补偿背景和漂移。
一次实验可收集的最大数据点数为 64000,因此给定实验的时间最大值也由采样间隔决定。
电位响应的形状可以通过考虑氧化还原物种浓度分布随时间的变化来解释:
计时电位法的浓度分布
让我们考虑电子转移反应 。在电流阶跃之前,电极表面 O 的浓度与本体溶液中的浓度相同(即 5 mM)。初始电位是静息电位或开路电位 ()。一旦施加了(还原)电流阶跃,O 在电极表面被还原为 R 以支持施加的电流,因此电极表面 O 的浓度下降。这在本体溶液和电极表面之间建立了 O 的浓度梯度,O 的分子沿着这个浓度梯度扩散到电极表面。电位接近 的氧化还原电位,其精确值取决于能斯特方程:
其中 和 分别是 O 和 R 的表面浓度。这些浓度随时间变化,因此电位也随时间变化,这反映在此阶段电位 vs. 时间图的有限斜率上。一旦电极表面 O 的浓度为零,施加的电流就不能再由该电子转移反应支持,因此电位变为另一个电子转移反应的氧化还原电位。如果溶液中没有添加其他分析物,第二个电子转移反应将涉及电解质的还原;也就是说,电位会发生大的变化。
计时电位法实验的典型电位响应
双阶跃计时电位法 (DSCP) 与 CP 类似;然而,在该技术中,会施加第二个电流阶跃。还应注意,DSCP 实验的时间尺度通常比 CP 的时间尺度(分钟或秒)短(秒或毫秒)。因此,两种技术定义采样率的协议是不同的。

用四个参数来定义 DSCP 的电流波形:第一阶跃电流、第二阶跃电流、第一阶跃时间和第二阶跃时间。电流值以 , 或 pA 为单位输入,具体取决于选择的电流范围。
允许的参数值范围:
| 电流: | (见下文) |
|---|---|
| 阶跃时间: | 或 |
| 一个阶跃中的最大点数: | |
| 采样间隔: | , 或 60 s 时间: |
| 32000 (见下文) |
请注意,在施加亚 nA 电流时存在精度限制。Epsilon EClipse 通常具有约 30 pA 的背景电流,以及在 8 小时内约 5 pA 的漂移。然而,可能可以确定给定仪器的平均背景电流,从而“校正”施加的电流以补偿背景和漂移。
采样间隔由阶跃时间和阶跃中的最大点数决定,只能由用户通过这些参数间接调整。有关采样间隔限制的更多详细信息,请参见关于 CA 的部分。
好的,这是您要求的完整、忠实、保留原格式的翻译,物理化学名词已加粗,所有符号、公式和图片引用均保持原样:
“
Epsilon EClipse 的基础增强软件包中提供了多种不同的脉冲技术,它们在电位脉冲波形、采样点数以及使用的是固体电极(伏安法)还是汞滴电极(极谱法)方面有所不同。这些技术固有的对充电电流的抑制能力导致了更低的检测限(与线性扫描技术相比),这使得这些技术适合于定量分析。
所有脉冲技术的基础是在电位阶跃(或“脉冲”)后充电电流和法拉第电流衰减速率的差异。充电电流呈指数衰减,而法拉第电流(对于扩散控制的电流)则以 时间 的函数衰减;也就是说,充电电流的衰减速率比法拉第电流的衰减速率快得多。在电位阶跃后 5 RuCdl 的时间,充电电流可以忽略不计(RuCdl 是电化学池的时间常数,范围从 到 ms)。因此,在此时间之后,测量的电流仅由法拉第电流组成;也就是说,在电位脉冲结束时测量电流可以区分法拉第电流和充电电流。
脉冲技术的重要参数如下:
在使用汞电极 (CGME SMDE Mode) 的每种脉冲技术中,都必须指定脉冲类型 (Pulse Type)。如果选择伏安法 (Voltammetry),则整个实验在单滴汞上进行(在实验前滴汞之后)。如果选择极谱法 (Polarography),则每个数据点都使用一滴新汞。
采样周期有三种选项:
一般来说,增加采样周期会提高信噪比。然而,对于较短的阶跃/脉冲宽度值,1 线路周期选项可能不可行。
采样电流极谱法 (SCP) 是对经典直流极谱实验的改进,旨在减少汞滴电极表面积变化的影响。电位波形如下图所示。电位以一系列阶跃变化,在每个阶跃结束时对电流进行采样。

允许的参数值范围:
扫描速率不能由用户直接更改,而是由阶跃电位 1/采样宽度决定。
SCP 的电流响应如下所示。极限电流 (id) 由伊尔科维奇方程给出:
其中: 转移的电子数/分子 浓度 ( ) 扩散系数 ( ) 汞流速 ( ) 采样间隔 ( s )
一个典型的采样电流极谱图
常规脉冲伏安法/极谱法 (NP) 的电位波形如下所示。电位波形由一系列振幅不断增加的脉冲组成,每个脉冲后电位都返回到初始值。

允许的参数值范围:
扫描速率不能由用户直接更改,而是由阶跃电位 1/脉冲周期决定。脉冲周期必须至少是脉冲宽度的两倍。
考虑一个还原反应。如果初始电位远正于氧化还原电位,施加小幅度脉冲不会引起任何法拉第反应;因此没有电流响应。当脉冲幅度足够大,以至于脉冲电位接近氧化还原电位时,电位脉冲会引起法拉第反应(假设电子转移动力学中等快速),此时电流的大小可能同时取决于扩散速率和电子转移速率。当脉冲电位足够负于氧化还原电位,以至于电子转移反应迅速发生时,法拉第电流仅取决于扩散速率;也就是说,达到了极限电流。NP 实验中通常观察到的 S 形曲线(见下文)与经典极谱实验中得到的电流-电位曲线形状相似,这使得该技术被称为“常规”脉冲法。
一个典型的常规脉冲伏安图
差分脉冲伏安法/极谱法 (DP) 的电位波形如下所示。电位波形由叠加在阶梯波形上的小脉冲(恒定幅度)组成。与 NP 不同,在每个脉冲周期中电流被采样两次(一次在脉冲前,一次在脉冲结束时),这两个电流值之差被记录和显示。
差分脉冲伏安法的电位波形
允许的参数值范围:
| - 电位: | 或 |
|---|---|
| - 阶跃电位: | |
| - 脉冲幅度: | |
| - 脉冲宽度: | |
| - 阶跃宽度: | (极谱法) 或 (伏安法) |
| - 静置时间: |
扫描速率不能由用户直接更改,而是由阶跃电位 1/脉冲周期决定。脉冲周期必须至少是脉冲宽度的两倍。
考虑一个还原反应。在远正于氧化还原电位的电位下,脉冲不会引起法拉第反应,因此差分电流为零。在氧化还原电位附近,差分电流达到最大值,并随着电流变为扩散控制而减小到零。因此,电流响应是一个对称的峰(见下文)。
一个典型的差分脉冲伏安图
方波伏安法 (SW) 的电位波形如下所示。电位波形由一个恒定幅度的方波叠加在一个阶梯波形上组成。在每个半周期结束时测量电流,反向半周期测量的电流 () 从正向半周期测量的电流 () 中减去。这个差分电流 () 被显示为施加电位的函数。
方波伏安法的电位波形
阶梯波形的步高和电位分辨率由 1/方波频率决定。
采样周期有三种选项:
使用 BASi CGME,通过在 Cell Selection 框中选择 CGME SDME Mode,可以在悬汞滴电极(即整个实验使用单滴汞)上运行实验。
允许的参数值范围:
| - 电位: | 或 |
|---|---|
| - 阶跃电位: | |
| - 方波幅度: | |
| - 方波频率: | |
| - 静置时间: |
扫描速率不能由用户直接更改,而是由阶跃电位 方波频率决定。
测量差分电流有两个优点。首先,它增加了对充电电流的抑制,因为任何残留的充电电流都会被减去。其次,电流响应的形状是一个对称的峰(见下文),而不是常规脉冲伏安法中通常出现的 S 形曲线。如果我们考虑一个还原反应,那么在远正于氧化还原电位的电位下,正向和反向电流都为零,因此差分电流也为零。在远负于氧化还原电位的电位下,电流是扩散控制的,电位脉冲没有影响;因此,正向和反向电流相等,差分电流也再次为零。
一个典型的方波伏安图
溶出伏安法是一种非常灵敏的分析溶液中痕量电活性物质浓度的方法。据报道,金属离子的检测限可达亚 ppb 浓度。
一个溶出实验中有三个重要部分:
通过讨论用于检测铅的溶出实验,可以最好地解释这些组成部分。在此实验中,使用汞工作电极——可以是悬汞滴电极 (HMDE)(使用 BASi CGME)或薄汞膜电极 (TMFE)(使用 BASi RDE-2)。TMFE 是通过在玻璃碳电极表面沉积一层汞膜制成的,通常在沉积步骤中完成。
在沉积步骤中,施加到汞电极的电位保持在一个沉积电位 (Deposition Potential) (mV) 上,在该电位下铅离子被还原成铅金属,并持续预定的沉积时间 (Deposition Time) (sec)。如果启用了 Deposition E = Initial E 选项,则技术参数中的初始电位 (Initial Potential) (mV) 将用作沉积电位。然后金属铅与汞电极形成汞齐(当使用 TMFE 时,通常将汞离子添加到溶液中,在沉积步骤中汞金属与铅共同沉积)。这种汞齐化的效果是将铅富集在汞电极中,因此电极中铅的浓度远大于(通常是 2 或 3 个数量级)溶液中铅的浓度(因此,沉积步骤通常被称为预富集或累积步骤)。通过搅拌溶液(使用 CGME 时)或旋转电极(使用 RDE-2 时)可以提高沉积效率。可以启用沉积期间搅拌/旋转 (Stir/Rotate during Deposition) 和沉积期间吹扫 (Purge during Deposition) 来远程控制 CGME/RDE-2。在电解池设置 (Cell Settings) 中,应根据要使用的设备,将电解池选择 (Cell Selection) 设置为 CGME/SDME Mode 或 RDE-2。
沉积步骤后,停止搅拌,让系统达到平衡(通常为 10-15 秒)。这是在启动条件 (Start Conditions) 部分下的静置时间 (Quiet Time) (s)。
在溶出步骤中,施加的电位向正方向扫描,汞电极中的铅被氧化回溶液中的铅离子;也就是说,铅从电极上“溶出”。溶出发生的电位与分析物的氧化还原电位有关,因此溶出步骤中电流峰的电位可用于识别分析物。溶出峰的电流大小与汞电极中分析物的浓度成正比。由于电极中分析物的浓度与溶液中的浓度有关,因此溶出峰电流与溶液浓度成正比。
溶出步骤使用了多种不同的波形,包括线性扫描伏安法 (LSSV)、差分脉冲伏安法 (DPSV) 和方波伏安法 (SWSV)。由于其检测限较低,SWSV 和 DPSV 更常用。有关特定技术参数的更详细信息,请分别参见线性扫描伏安法、差分脉冲伏安法和方波伏安法的部分。
如上所述,在溶出步骤中直接测量的是汞电极中铅的浓度,而不是溶液中铅的浓度。电极浓度可以通过增加沉积时间 (Deposition Time) (sec) 和/或搅拌速率来提高。这两个参数所需的值取决于汞电极的灵敏度,该灵敏度由表面积与体积之比决定(即,有多少沉积的铅原子在汞表面上,因此在溶出步骤中可被检测到)。TMFE 的这个比值要高得多,因此需要较短的沉积时间 (Deposition Time) (sec)。此外,由于 HMDE 的机械不稳定性相对较高(即,如果搅拌太快,汞滴可能会脱落),TMFE 可以使用更快的搅拌。TMFE 的信号分辨率也更好,如果存在多种金属离子,这一点可能很重要。
然而,TMFE 的更高灵敏度也可能是一个缺点,因为金属在汞中的溶解度极限更容易被超过。这可能导致金属间化合物的形成,从而影响实验结果的准确性(例如,由于溶出电位的偏移和溶出电流的降低)。容易结合的一对金属是锌和铜。
为了用作定量分析技术,溶出实验的结果必须是可重现的。因此,实验条件必须是可重现的。TMFE 的第二个缺点是薄膜的重现性相对较差。由于薄膜沉积在玻璃碳电极的表面上,它对玻璃碳表面的微观结构很敏感,而这可能受到制备表面的方法的影响。相比之下,HMDE 的重现性很高。无论选择哪种汞电极,都必须非常小心地进行样品制备、玻璃器皿清洁等。沉积步骤中的搅拌速率也必须保持恒定。
上述方法称为阳极溶出伏安法 (ASV),因为溶出电流是阳极电流。该方法可用于可以很容易地还原成金属态并重新氧化的金属离子,包括约 20 种不同的金属离子(例如铅、铜、镉和锌)。这不如原子吸收光谱法 (AAS) 可检测的金属多,尽管 ASV 的灵敏度与 AAS 相当,有时甚至更好。ASV 相对于 AAS 的优势在于它能够同时检测多种金属离子。此外,可以检测给定金属的不同氧化态(例如砷和锑)。
其他溶出伏安技术包括阴极溶出伏安法 (CSV) 和吸附溶出伏安法 (AdSV)。CSV 的基础是在沉积步骤中,汞的氧化,然后在汞电极表面形成 HgL(L 是分析物)的不溶性薄膜。CSV 最常用于检测含硫分子(例如硫醇、硫脲和硫代酰胺),但它也已用于核黄素和核酸碱基(例如腺嘌呤和胞嘧啶)等分子。
AdSV 与 ASV 和 CSV 不同,其沉积步骤是非电解的,而是通过分子吸附在工作电极表面上发生的(最常用的是 HMDE)。溶出步骤可以是阳极的也可以是阴极的。AdSV 已被用于有机分子(例如多巴胺、氯丙嗪、红霉素、二丁酮和莠灭净)以及不适合用 ASV 检测的金属的金属配合物(例如钴和镍)。
好的,这是您要求的完整、忠实、保留原格式的翻译,物理化学名词已加粗,所有符号、公式和图片引用均保持原样:
“
通过添加可选的双恒电位仪升级,Epsilon EClipse 上可使用多通道技术。双恒电位仪实验可以用于循环伏安法、计时电流法和直流电流法。
W2 施加电位可以自动设置为与 W1 相同的值 (Track W1),或者可以输入不同的值 (Fixed Potential)。
W2 施加电位有两个选项:
Ide MCCV hold-scan.MCCV0


请注意,在任何一种情况下,都必须指定 W2 满量程电流。
W2 施加电位有两个选项:

运行/停止 (Run/Stop) - 选择一项技术并将实验参数更改为所需值后,可以通过在 Experiment 菜单中选择 Run 或选择 Run 图标来开始实验。可以通过在 Experiment 菜单中选择 Stop 或选择 Stop 图标来停止实验。
序列技术 (Sequential Techniques) - 序列技术允许用户设置一个批处理实验,其中包含几乎无限数量的顺序实验。序列技术是 Methods 软件包的一部分。可以通过在 Experiment 菜单中选择 Sequential Techniques 来输入序列技术。
下面列出了实验数据的图形显示可用选项。这些选项包含在 Graph 菜单中,也包含在 Graph Properties 窗口中。
当数据在实验窗口中显示时(在实验期间或之后,或打开保存的数据后),坐标轴的限制由数据点定义,如下所示。

选择 Zoom All Data 后循环伏安法的典型图形
提供三种缩放选项:Zoom Full Range、Zoom All Data 或鼠标缩放。Zoom Full Range 会将 y 轴增加到技术参数中 Full Scale Current 定义的值。

选择 Zoom Full Range 后循环伏安法的典型图形
Zoom All Data 将恢复对数据点的默认缩放。
鼠标滚轮也可用于放大和缩小数据。此外,用户可以通过在数据的一个区域单击鼠标并将光标拖动到对角,同时按住鼠标按钮来定义窗口的缩放区域。

使用鼠标进行部分缩放后循环伏安法的典型图形
Undo Zoom 菜单选项将撤销用户实施的最后一次缩放。
提供两种坐标轴约定:
IUPAC
极谱法
两种图形类型都可以从 Graph 菜单中访问。
在技术运行期间收集的数据的绘图存在许多选项。这些选项可以通过在图形区域右键单击或通过 Graph → Select Graph Type 菜单来访问。
图形可以显示原始数据,或应用运行后平滑。
数据图最初以其默认图形类型显示(因技术而异)。还有多种其他图形类型可用于分析数据:
还可以显示以下派生图形类型:
对于多通道技术,W1 和 W2 数据可以一起显示,或者使用 Multichannel W1 和 Multichannel W2 选项只显示一个通道的数据。
有关每种特定技术可用的图形类型的更多信息,请参见 7.5 节。
此选项可以在 Graph 菜单中启用或禁用。启用此选项将生成一个显示所有实验数据点的图形(见下例)。


此菜单选项允许您设置所显示图形的确切范围。
可以从 View → Toolbars and Docking Window 菜单访问图形属性工具栏。此工具栏可以是软件内的浮动窗口,也可以停靠在软件窗口的侧面、顶部或底部。停靠时,工具栏可以保持打开状态,也可以设置为在不活动时自动隐藏。图形属性工具栏将始终显示/更改活动窗口的设置。
所有图形都有默认的标题和坐标轴标签。但是,用户可以在图形属性工具栏的此部分输入自定义标题和坐标轴标签。
可以为图形标题、坐标轴标签和坐标轴刻度值独立调整字体。
图形中的各种特征都可以设置为任何颜色,或者图形可以以黑白模式显示。
在图形属性工具栏的此部分,可以更改网格线和坐标轴设置。可以启用或禁用网格。无论是否显示整个网格,任一坐标轴的零线也可以启用或显示。在此部分工具栏中也可以启用或禁用数据点。
可以从实验数据中提取的参数取决于电化学技术(例如,循环伏安法的峰电位、峰电流和峰面积,以及计时电流法/计时库仑法的斜率和截距)。因此,不同的技术需要不同的测量方法。Epsilon EClipse™ 上提供以下数据分析方法。
此功能可以在 Analysis 菜单下的 Peak Parameters 中找到。此功能将测量并报告对称峰和拖尾峰的峰电位、电流和峰下面积,以及 S 形曲线的半波电位和极限电流。这些测量的基线可以由软件自动确定,也可以由用户手动确定。此功能的操作最好通过以下示例来说明。

上面显示了要分析的循环伏安图。峰参数值是使用寻峰功能的默认值计算的。

找到的峰将基于 Min Width 和 Min Height 参数。更改这些值后,单击 Calculate 按钮重新计算峰。
选择一个峰将只在图形上显示该峰。单击 Redraw 按钮恢复显示所有峰的视图。
勾选 Paint Peaks 框并单击 Redraw 将显示每个峰的计算面积。

所有峰基线和峰线都与数据文件一起保存。如果重新分析保存的数据,请务必重新保存文件。
可以使用响应与时间某个函数之间的线性关系来分析电位阶跃实验的数据。在查看数据文件时,将图形类型更改为 vs sqrt( ) 或 I vs 。然后从 Analysis 菜单中选择 Calculate CA-SIR。
线性拟合有两个参数需要指定。R-Window 指定用于拟合的数据点的百分比。需要此参数是因为将电位从初始值更改为阶跃值需要有限的时间,这意味着前几个数据点无效。默认情况是使用最后 的数据点进行计算(即丢弃前 )。 是计算中使用的权重因子(x, I/x, 或 I/x2)。单击 Calculate 后,参数值将被计算并显示在窗口中(见下图)。
图形现在显示用于计算的线。

可以使用 Graph 菜单中的 Overlay Waveforms 功能将数据文件叠加在一组坐标轴上。打开您希望叠加的所有文件,当您选择该菜单选项时,叠加图将自动生成。坐标轴的刻度由范围最大的图形决定。
如果您希望从叠加图中移除其中一个图形,只需关闭该文件,它就会消失。

请注意,Graph Properties 菜单对叠加图无效。
叠加图可以保存为 *.eplot 文件。重新打开此文件时,必须首先打开原始数据文件。
数字平滑程序用于在实验运行后去除电化学信号中不需要的噪声,从而提高信噪比。然而,与模拟滤波一样,必须小心避免对电化学信号产生偏差。
Epsilon EClipse 上的默认平滑程序是移动平均平滑。可以在 Analysis 菜单中的三个选项下选择:MPA 5 Points、MPA 9 Points 或 MPA Points。例如,当使用 MPA 5 Points 时,数据以 5 个点为一组进行检查。在每组中,第一个、第二个、第四个和第五个点相加并除以 4。这个数字(即一个平均电流值)替换了该组中的第三个点。程序向上移动一个点,并重复平均序列,直到对除前两个和后两个之外的所有数据点重复此操作,前两个和后两个点分别设置为第三个点和倒数第三个点。还提供 9 点移动平均,或者用户可以设置任何 n 值。
默认情况是实验数据在实验结束时自动平滑。
根据技术的不同,提供各种派生图:
此 Q vs. 图可用于计时库仑技术。
此 I vs. I/Vt 图可用于计时电流技术。
这些图可以通过在数据图上右键单击并选择 Derived Graphs 来访问。也可以从 Graph → Select Graph Type 菜单选项访问。
可以通过从 File 菜单中选择 Save 或 Save As,或通过选择工具栏上的 Save 图标,将数据以 .edata 文件扩展名保存。可以通过从 File 菜单中选择 Save 或 Save As,或通过选择工具栏上的 Save 图标,将技术以 .etech 文件扩展名保存。如果使用 Methods 版本的软件,可以通过从 File 菜单中选择 Save 或 Save As,或通过选择工具栏上的 Save 图标,将序列以 .eseq 文件扩展名保存。
可以通过在 Edit 菜单中选择 Copy 来复制数据。当图形窗口处于活动状态时,也可以通过按 Ctrl+C 来复制图形。可以通过按 Ctrl+Shift+C 来复制绘图数据,以直接粘贴到电子表格中。
可以通过在 File 菜单中选择 Print 或通过选择工具栏上的 Print 图标来打印信息。此外,可以在 File 菜单中选择 Print Preview 和 Print Setup。图形打印时,技术参数和注释会显示在图形下方。如果计算机上安装了适用的 PDF 写入程序,可以将图形打印为 PDF 文件。
可以通过从 File 菜单中选择 Save Data As 来导出数据,并允许选择多个选项。可以勾选或取消勾选 Technique Properties、Legacy Format、Measured Parameter(s) Only、Single Column 和 Column Labels。列分隔符可以选择为空格、逗号或制表符。可以通过在框中输入所需的数值来选择每 n 个数据点保存一次数据的选项。
默认快捷键
Ctrl-C - 复制图形图像。
Ctrl-P - 打印。
Ctrl-N - 新建技术。
Ctrl-O - 打开文件。
Ctrl-F4 - 关闭当前技术。
选择框 - 缩放到选择区域。
Shift - 显示指针处的坐标。
Shift-双击 - 切换显示点。
箭头键 - 平移缩放。
鼠标滚轮 - 放大/缩小。
Shift-左和右键 - 在多次运行中切换。
辅助(右)鼠标 - 上下文菜单。
F5 - 运行当前技术。
F7 - 应用 MPA(9)。
Ctrl-F7 - MPA(n),使用菜单选择点数。
F9 - 如果电解池处于活动状态,则关闭它。
Ctrl-Shift-C - 从图形复制数据点。
可以为软件内的许多操作添加或修改快捷键。在 View 下拉菜单中选择 Toolbars and Docking Windows,然后选择 Customize。在 Customize 窗口中,选择 keyboard 选项卡。在此选项卡中,可以选择任何类别(菜单),并显示当前的快捷键。可以为任何命令输入新的快捷键。
好的,这是您要求的完整、忠实、保留原格式的翻译,物理化学名词已加粗,所有符号、公式和图片引用均保持原样:
“
电化学反应的基本过程是工作电极表面与界面区域(溶液中或固定在电极表面)的分子之间发生电子转移。这种非均相过程的动力学会受到电极表面的微观结构和粗糙度、电极表面活性位点被吸附物质的阻塞,以及表面存在的官能团(例如氧化物)性质的显著影响。因此,人们投入了大量精力寻找能够去除电极上吸附物种并产生可重现结果的电极表面的方法。最常见的表面处理方法是机械抛光。抛光方案取决于电极的使用应用以及电极表面的状况。有多种不同的材料可供选择(例如金刚石、氧化铝、碳化硅),其不同粒径悬浮在溶液中(BASi 提供 0.05 毫米氧化铝抛光剂,以及 1、3、6 和 15 毫米金刚石抛光剂;使用前应充分摇匀以确保颗粒悬浮)。用于抛光的垫子也取决于所用材料——抛光垫与氧化铝抛光剂一起使用,而尼龙垫应与金刚石抛光剂一起使用。BASi 提供的工作电极首先经过研磨以产生平坦表面,然后在工厂经过广泛抛光,达到光滑、镜面般的光洁度。因此,用户在实验之间通常只需要用 0.05 毫米或 1 毫米的金刚石抛光剂重新抛光。抛光时,电极应以“8”字形移动,以确保均匀抛光。表面较粗糙的材料(例如,有划痕的商业电极)必须首先使用较大颗粒的抛光剂进行抛光,以去除表面缺陷。去除缺陷后,应继续使用粒径依次减小的抛光剂进行抛光(例如,15 毫米,然后 6 毫米,然后 3 毫米,然后 1 毫米)。
MF-2060 电极改性剂 - PK-4 电极抛光套件
抛光完成后(这可能需要 30 秒到几分钟,取决于电极的状况),必须用适当的溶剂彻底冲洗电极表面,以去除所有抛光材料的痕迹(因为其存在会影响电子转移动力学)。氧化铝抛光剂应用蒸馏水冲洗,金刚石抛光剂应用甲醇或乙醇冲洗。冲洗溶液应直接喷洒在电极表面上。表面冲洗后,用氧化铝抛光的电极还应在蒸馏水中超声处理几分钟,以确保完全去除氧化铝颗粒。如果使用多种抛光剂,则在更换不同抛光剂之间应彻底冲洗电极表面。如上所述,任何表面预处理的效果都可以通过其对电子转移速率的影响来确定。这可以通过检查已知其电子转移动力学对表面状态敏感的分子的循环伏安图中峰电位的分离来定性判断(通过从此峰电位分离计算标准非均相速率常数 ks 的值可以进行更定量的确定)。例如,在简单的抛光方案后,铁氰化钾在玻璃碳表面的 ks 通常在 范围内(这应与铂电极的 ks 测量值进行比较,后者至少大一个数量级)。铁氰化钾的电子转移动力学对电极表面状态的强烈依赖性意味着,每次抛光后峰电位分离可能会有显著变化,因为抛光除了去除吸附物种外,还会改变电极表面的微观结构、粗糙度和官能团。用于抛光的材料也会影响 ks 的值。例如,电极表面可能会被需要将氧化铝颗粒悬浮在溶液中的凝聚剂以及抛光垫的成分污染。这些物质的存在会通过阻塞电子转移反应的活性位点而对电子转移动力学产生有害影响。然而,应该注意的是,这种对电极表面状态的显著依赖性仅在某些体系中观察到(最典型的例子是铁氰化物的还原、抗坏血酸的氧化和多巴胺的吸附)。对于这类体系,抛光通常与其他预处理(例如,热处理或电化学处理)结合使用。然而,对于许多其他体系,上述简单的抛光就足够了(例如,当使用非水电解质时,因为在这种电解质中,活性位点被吸附物种阻塞的情况比在水电解质中少见)。
另一种越来越广泛使用的电极表面制备方法是电化学预处理 (ECP),特别是对于不易抛光的电极(例如,碳纤维圆柱电极)。ECP 包括在实验前向电极表面施加调节电位。与抛光一样,这具有去除吸附物种和改变电极表面微观结构、粗糙度和官能团的效果。具体的 ECP 方案取决于应用,并且差异很大。电位波形通常保持在或循环到大的正电位或负电位,使用阶跃或扫描(恒电位、电位扫描、三角波和方波)。尽管预处理方案的开发很大程度上是经验性的,但已经对预处理的电极表面进行了一些表征,以阐明电极表面活化的原因。对于玻璃碳电极,除了去除吸附物种外,预处理电位还导致在碳表面形成富氧层。该层含有氧化物以及其他含氧官能团,这些官能团可能催化电子转移反应(该层中官能团的组成对预处理条件敏感,并取决于溶液 pH 值以及用于预处理的电位)。氧化物层还可以从溶液中吸附和/或交换离子,从而提高检测限。然而,电极的电化学预处理可能会增加电极的背景电流(相对于抛光电极),这对于某些应用可能是不利的。
在所有电化学实验中,感兴趣的反应都发生在工作电极的表面。因此,我们感兴趣的是控制工作电极表面与溶液之间界面上的电位降(即,界面电位)。然而,如果不将另一个电极放入溶液中,就不可能控制或测量这个界面电位。因此,必须考虑两个界面电位,而这两个电位都不能独立测量。因此,对这个对电极的一个要求是其界面电位保持恒定,以便电解池电位的任何变化都能在工作电极界面电位上产生相同的变化。电位不随电流变化的电极被称为理想的非极化电极,其特征是在电流 vs. 电位图上有一个垂直区域。然而,没有电极能以这种方式工作(尽管有些电极在低电流下接近理想的非极化行为)。因此,上面讨论的两电极体系中对电极的界面电位会随着电流通过电解池而变化。这个问题通过使用三电极体系来解决,其中对电极的功能由参比电极和辅助电极分担;也就是说,控制工作电极和参比电极之间的电位,而电流在工作电极和辅助电极之间通过。通过使用高输入阻抗的运算放大器作为参比电极输入,进一步减小了通过参比电极的电流。
两电极体系对电极的要求包括高交换电流(快速的电子转移动力学)、非常大的表面积(以降低电流密度)以及参与氧化还原反应的物种的高浓度,使得浓度不会因电流通过而显著改变。一个以前广泛使用的符合这些标准的参比电极是饱和甘汞电极(具有大表面积的汞池)。然而,由于在三电极体系中通过参比电极的电流比通过两电极体系的电流低许多数量级,因此对参比电极的要求不那么苛刻;因此,可以使用更小、更易极化的电极。
一个经常被忽视的方面是参比电极电位随温度的变化。理想情况下,电位应与温度无关;然而,它通常每摄氏度变化 0.5-1 mV。因此,精确的电位测量需要使用恒温装置。此外,应始终报告进行测量的温度。没有任何温度控制会将测量的准确性限制在约 5-10 mV(尽管对于某些实验,这种精度水平可能是可以接受的)。两种广泛使用的水性参比电极是银/氯化银电极和饱和甘汞电极。下面将更详细地讨论这些电极。
该电极的氧化还原过程为
该电极由一根涂有氯化银的银丝组成,浸入含有氯离子的溶液中。BASi RE-5B 电极使用含有 3M 氯化钠的水溶液(使用钠作为阳离子而非钾的原因将在下面讨论);参比电极溶液和样品溶液之间的接界使用多孔 CoralPor 玻芯。任何电极的电位 E 都由能斯特方程确定,该方程将 E 与标准电位 Eo 和氧化还原组分的活度联系起来(标准电位是电极在标准条件下单位活度时的电位)。银/氯化银电极的能斯特方程如下所示(标准条件下固体银和氯化银的活度为 1)。
通常更方便考虑浓度而不是活度。这些参数通过活度系数 相关联:
因此,能斯特方程可以改写如下:
其中 是形式电极电位,与标准电位通过以下方程相关联:
在引用氧化还原电位时,必须具体说明。例如,在 下,银/氯化银氧化还原反应的标准氧化还原电位 () 是 +0.222 V (vs. NHE),而在此温度下,带有 3 M 氯化钠的 BASi 水性银/氯化银参比电极的氧化还原电位 (E) 是 +0.209 V (vs. NHE)。上述方程表明,电极中氯离子浓度的变化会改变氧化还原电位。由于参比电极玻芯两侧通常存在大的氯离子浓度梯度,氯离子会缓慢地从参比电极溶液扩散到样品溶液中;也就是说,使用时参考电位会逐渐改变。可以采取一些预防措施来最小化这种电位漂移。制造电极时,CoralPor 玻芯用塑料覆盖以防止泄漏。收到后应立即小心取下此塑料,并将 CoralPor 玻芯浸入 3 M 的氯化钠水溶液中。在实验之间,也应将参比电极从电化学池中取出并储存在此溶液中(当使用非水溶剂体系时,这一点尤其重要,原因将在下面讨论)。偶尔,溶液中 CoralPor 玻芯旁边会形成气泡;应通过轻轻弹动电极末端来去除这些气泡。
该电极的氧化还原过程为
BASi 饱和甘汞电极 (SCE) 是一个 H 型池。一臂含有被一层氯化亚汞(甘汞)覆盖的汞。它与饱和氯化钾溶液接触;在另一臂的末端,参比电极溶液和样品溶液之间的接界再次使用多孔 CoralPorTM 玻芯。饱和甘汞电极以套件形式提供,需要用户组装(注意:套件不包括任何汞)。一旦组装好,电极应将 CoralPorTM 玻芯浸入饱和氯化钾溶液中储存,以维持参比电极中的氯离子浓度。
如上所述,参比电极溶液的组成(即高氯离子浓度)通常与样品溶液的组成不同。这导致两种溶液界面(即 CoralPor 玻芯)上存在电位差,这是由于组成离子通过玻芯的扩散速率不等所致。这种液接电位无法测量(尽管可以估算),并可能给伏安测量带来问题。例如,在不同溶剂体系中测量的给定分析物的氧化还原电位不能直接比较,因为每个溶剂体系的液接电位都不同。然而,对于给定的溶剂体系,只要液接电位恒定且可重现,通常可以忽略它。如果对此有任何疑问,可以使用内部参比(例如,二茂铁);也就是说,在实验结束时将参比化合物添加到样品溶液中,并记录其氧化还原电位。这种方法也可以用于比较在不同溶剂体系中测量的氧化还原电位。
好的,这是您要求的完整、忠实、保留原格式的翻译,物理化学名词已加粗,所有符号、公式和图片引用均保持原样:
“
关于在非水溶剂体系中使用水性参比电极(如银/氯化银电极和饱和甘汞电极)一直存在很多争论。一个令人担忧的方面是跨越盐桥的接界电位,其范围可能从几十毫伏到几百毫伏不等;然而,如上所述,这类问题可以通过使用内部参比来补偿。还有两个更严重的问题:电解质的沉淀和样品溶液的污染。参比电极中常用的电解质(氯化钠和氯化钾)在有机溶剂中的溶解度不高,将水性参比电极长时间浸泡在有机溶剂中可能导致这些电解质在 CoralPor 玻芯中沉淀。两种电解质离子的组合盐也可能沉淀;例如,高氯酸钾在乙腈中不溶,可能会在含有高氯酸四乙基铵的乙腈溶液中,在水性氯化钾参比电极的玻芯中沉积。通过明智地选择电解质可以避免这种沉淀。例如,高氯酸钠的溶解度远高于高氯酸钾,因此 BASi 银/氯化银参比电极中使用氯化钠而非氯化钾。氯化四乙基铵也曾被用作参比电极电解质;因为它在水性和非水性介质中都可溶(这类参比电极市面上没有)。电解质盐的沉淀会增加参比电极的阻抗并改变液接电位,从而导致参考电位随时间变化。因此,通常应避免长时间暴露于有机溶剂,并应定期检查参考电位的稳定性(通过使用内部参比或与另一个参比电极比较)。然而,水性参比电极可用于非水溶剂中的本体电解实验,因为通常使用大的过电位,因此实验期间发生的小电位漂移影响应该很小(尽管实验后应检查电位变化的幅度)。
另一个可能发生的潜在严重问题是样品溶液被参比电极溶液的组分(例如水和氯离子)污染。例如,许多有机金属化合物对水高度反应,因此不能暴露于实验期间从参比电极扩散出来的少量水中。一种克服这个问题的方法是使用“双液接”参比电极,其中水性参比电极通过一个含有非水溶剂/电解质体系的盐桥与样品溶液隔离。然而,这种方法并不能严格排除水,因此不适用于对水高度敏感的体系。此外,这种方法也有缺点,因为引入第二个接界不仅通过增加另一个接界电位来改变参考电位,还增加了参比电极的阻抗。另一种特别适用于非水体系的参比电极改进是使用鲁金毛细管。这使得参比电极的尖端可以非常靠近工作电极表面,从而降低参比电极和工作电极之间的未补偿溶液电阻 (Ru)。然而,为了获得可重现的电阻补偿,需要精确放置鲁金探针;此外,如果尖端太近,会阻塞部分电极表面,导致电流分布不均匀。鲁金毛细管也增加了参比电极的阻抗。
有两种不需要水的参比电极体系,因此适用于对水敏感体系的非水电化学。它们是准参比电极和银/银离子电极。
准参比电极只是浸入样品溶液中的金属丝(例如铂或银)。尽管这类电极确实提供一个恒定的电位,但参考电位是未知的,并且取决于样品溶液的组成。因此,使用准参比电极测量的氧化还原电位应相对于内部参比化合物的氧化还原电位来引用。准参比电极的一个优点是其低阻抗。
该电极的氧化还原过程为
该电极的稳定性不如上面讨论的水性电极(由于银离子从电极中扩散出来以及这些离子的光反应性),必须经常制备。BASi 提供了一个非水性参比电极套件,需要用户自行组装。BASi 非水性参比电极由一根银丝浸入硝酸银或高氯酸银(0.001 M 至 0.01 M)和电解质(例如 0.1M TBAP)在所需有机溶剂中的溶液组成。合适的有机溶剂包括乙腈、二甲基亚砜 (DMSO)、甲醇、乙醇和四氢呋喃 (THF)。银离子会被二甲基甲酰胺 (DMF) 还原,并且在二氯甲烷中不溶;因此这些溶剂不适用于该参比电极(当样品溶液使用这两种溶剂之一时,乙腈可用作参比电极溶剂)。银/银离子参比电极的电位取决于溶剂、银离子浓度以及电解质的性质和浓度。它也会因引入盐桥而改变,盐桥用于减少样品溶液被银离子污染。
参比电极的阻抗可能对电解池的电流响应产生显著影响。高阻抗的参比电极不仅会减慢恒电位仪的响应速度(慢上升时间),还会增加系统对环境噪声(特别是电源线噪声)的敏感性。有多种因素会增加阻抗(见上文),因此参比电极的构造需要仔细考虑。

执行以下模拟电子测试。

CVRENTOR Epsiton ECIPsa

如果某些技术被标记为演示版 (demo),则说明它们在该特定的 Epsilon EClipse 仪器中未被启用。请联系 BASi 获取报价,以向仪器添加其他技术。
Epsilon EClipse 使用冷却风扇以防止过热。风扇有一个滤网,可防止灰尘进入仪器。随着灰尘的积聚,气流量会减少,从而降低冷却效率。
按以下步骤清洁滤网:

如果您需要更换部件,请联系 BASi。